增安型防爆电机最高工作温度的确定
增安型电机是在正常运行条件下不会产生电弧、火花或危险高温的电机基础上,采取一些机械、电气和热保护等附加的保护措施,使其不会产生电弧、火花或高温,从而确保其防爆安全性。
定子绕组、转子部件和电机内或电机上的附属电气设备或Ex元件的最高允许表面温度不应超过极限温度。这些温度应被测量,或由推断技术及计算确定。
(1)对于"eb"保护等级的电机,应考虑预期故障,预期故障包括由于电机过载或堵转状态造成的停止;
(2)对于“ec"保护等级的电机,当工作制为S1、S2、S6或S9时,只需确定额定负载下的温度。对于工作制不是S1、S2、S6或S9的“ec”保护等级的电机,应按不同的工作制情况,测定频繁启动和不同负载下的温度;
(3)对于“eb"和“ec”保护等级运行需要变频器的电机,温度应按GB/T 3836.3—2021《爆炸性环境 第3部分:由增安型“e”保护的设备》中5.2.8.4条变频器或非正弦供电运行的规定确定。
当使用计算或推断的方法确定温度时,应基于相似电机温度测量值的比较。
电机的工作温度是指电机在包括环境温度和其他任何外部热源或冷源的额定条件下运行时,在电机的额定电压下进行,测量到电机上特定的点所达到的最高或最低温度。
(1)正常工作状态下的转子温度
电机额定条件下转子温度应按照GB/T 755—2019《旋转电机 定额和性能》的要求,在电机断电后直接测得。最高转子温度应通过可以到时间原点的图来实现。其他可以采用的方法包括记录峰值、温度传感器、喷或画点。对于鼠笼转子,尽管转子端环和导条的温度可能不同于转子铁芯大于环的中心温度,不同导条和环之问温度的差异在正常负载运行条件下是微不足道的,并且只需要测定端环的温度。大型电机可能通过接近环或导条延长部分进行温度测定。
(2)正常工作状态的绕组温度
绕组温度应通过电阻法在电机断电后直接测得。由于电机断电后冷却很快(电机持续旋转且不立即停止),应有时间原点的绕组电阻图,使用指数曲线配合技术,推断断电时的最高温度。对于由埋入式温度传感器测量的绕组温度,定子绕组温度应由所有埋入温度传感器的最高温度读数确定。
最高表面温度应在考虑最高环境温度和相应的最大额定外部热源的情况下,在输入电压为设备额定电压90%或110%的最不利额定数据下进行,当温升的变化不超过2 K/h时,则认为已达到最终稳定温度,即到最高表面温度。
作为可替代方法,电机的最高表面温度也可在GB/T 755—2019 《旋转电机 定额和性能》规定的“A”区内最不利的试验电压下测定,在这种情况下,应按GB/T 3836.1—2021《爆炸性环境 第1部分:设备 通用要求》 29.3e)标志符号“X”,特殊使用条件信息应包含表面温度测定是基于在“A”区(GB/T 755—2019)内运行,典型值为额定电压的±5%。
考虑上述电压的调整,定子和绕组温度最高表面温度测定按照GB/T 755—2019进行。大型电机的负载应符合GB/T 21211—2017 《等效负载和叠加试验技术 间接法确定旋转电机温升》的要求。
(1)试验条件
电机初始状态应为静止,定子和转子温度应与试验环境温度相同。将转子堵转,施加额定电压和额定频率。
如果由于试验室限制,堵转试验也可在减小的电压下进行,测得的电流值应按照试验电压与额定电压比值增加,测定的温度值应按上述电压比值的平方增加。基于制造商对饱和效应的考虑,应考虑可能存在的饱和效应。试验应在可以达到的最高电压等于或小于额定电压,但不小于额定电压的50%下进行。
(2)转子温度
“eb"保护等级的电机在堵转状态下的温度应被测定用来确定:时间或确认埋入温度保护的有效性。转子鼠笼(导条和环)的温升应由温度传感器测定,该温度传感器的时间常数与温度上升率比应很小。由于集肤效应,导条上边缘存在最高温升。因此如果使用热电偶,它们应尽可能插入靠近导条表面的位置。所测得的最高温度是用来确定温度组别的基础。
对于功率小于500 kW,转子采用铸造的电动机,如果热电偶位于两个成90 °电角度的转子导条上。允许其他导条有10%测量温度的增加值。对于其他电机,每90 °电角度至少有3个转子导条,每个导条至少安装3个热电偶。每个导条上,热电偶应位于中间、端部附近和端环上。
(3)确定启动电流IA
定子在启动后(5士0.5)s测量的电流被认为是启动电流IA。如果进行减小电压的试验,定子电流应进行相应的修正计算。
(4)定子温度
由电阻法确定的定子平均温升,被作为绕组的温升。使用指数曲线技术绘制带有时间零点的绕组曲线可确定电机断电时最高温度。对于使用埋人温度传感器保护的电机,绕组温度应在埋入电阻传感器和相关保护装置关闭后进行测量。
堵转时,用于确定tE时间的转子和定子绕组的温升可由计算得出。其中,tE时间是指交流转子或定子绕组在最高环境温度下达到额定运行温度后,从开始启动电流IA时起直至温度上升到极限温度所需要的时间。由计算确定的转子电流(用于计算转子温度)应基于之前验证的实际试验结果。
(1)转子温度
当计算转子温度时,可根据焦耳效应进行计算并考虑导条和端环内产生的热量,以及鼠笼的热容量。集肤效应对导条内热量分布的影响也需要考虑。可允许向铁芯中的热传导。
(2)定子温度
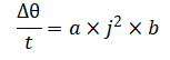
电动机的定子绕组温升△θ与时间t的比可按照以下公式进行计算:

其中,α为系数,铜绕组时为0.0065;j为启动电流密度,b为考虑浸渍绕组散热的衰减系数,数值为0.85。
(3)tE时间的确定
tE时间按照下图进行确定。

从极限温度C,减去最高环境温度A(正常40 ℃)和在额定运行时的温升B。根据差值 BC和在电动机堵转试验中的温升速率(通过试验或计算得出),确定时间。对转子和定子分别计算。两个数值中较小的视作电动机对于相应温度组别的时间。
参考文献:
1.GB∕T 755—2019 旋转电机定额和性能[S].
2.GB/T 3836.1—2021爆炸性环境 第1部分:设备 通用要求[S].
3. GB/T 3836.3—2021 爆炸性环境第3部分:由增安型“e”保护的设备[S].
4.GB/T 21211—2017 等效负载和叠加试验技术 间接法确定旋转电机温升[S].

